
益智
浙江大学公共政策研究院研究员浙江财经大学金融学教授、博士生导师
中银绒业等非ST公司的闪电退市,暴露出规则的机械和僵化。四环生物、汇金科技等“长期不退”公司,凸显了监管的缺位。笔者建议,借鉴网购“退一赔三、退一赔十”的赔付方式,先行赔偿投资者,提升金融消费者在房地产、汽车、装修等货品产业链方面的消费能力。
笔者在浙江财经大学上课时,为了突出上市公司信息披露制度的趣味性,让同学们罗列一些股票市场的奇葩现象,很多同学不约而同地列举了獐子岛的扇贝逃跑造假故事,为了戳破上市公司的谎言,证监会竟然动用了北斗天眼系统。但笔者认为这些案例太老,现实显然更具戏剧性。2025年清明节前夕,美国发动了关税战,其关税税率的计量模型在形式上居然如此精巧实用:
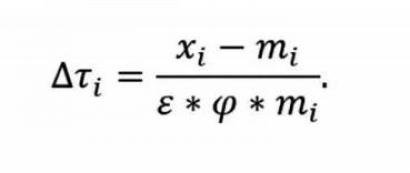
、ε两个系数令人望而生畏,但美方豪横、武断地把这两个系数分别给定为0.25和4,所以乘积是1。因此,美国的关税税率=(美方出口额-美方进口额)/美方进口额。按照美方数据,2024年中国对美出口4389亿美元,美国逆差2954亿美元,关税税率就是 2954/4389=67.3%。所以,2025年4月4日,全球发生的最奇葩之事就是在SCI/SSCI论文平台的发源地英美国家级网站发表了一个“精致”的关税税率计量模型,并且被美国总统采纳,而这次中方随即反制,立即对美进口商品加征同等税率,可以说是对美方关税讹诈政策的有力回击。美国科技股应声大跌,美股“七姐妹”(苹果、微软、谷歌、亚马逊、Meta、英伟达和特斯拉)的市值蒸发约15536亿美元(约合人民币11.31万亿元),美股总市值蒸发约6.29万亿美元(约合人民币45.80万亿元),跌得投资者目瞪口呆。
4月7日,A股大幅震荡,此前濒临非ST股一元退市的辽港股份、海航控股、重庆钢铁、永泰能源等低价大盘股,又面临非ST股一元退市的窘境。尽管东方集团紧急退市预警、披星戴帽(*ST),避免了非ST股一元退市,但随着中美以及国际关税战的白热化,A股市场是否还会出现非ST股一元退市的情况?
非ST股一元退市,即“一元面值退市”规则的设计初衷是加速市场出清,但其机械、僵化的标准(仅关注股价,忽视基本面)以及与我国现行退市制度(ST/*ST体系)存在矛盾,导致部分经营正常的上市公司因市场情绪或流动性危机被误伤而退市。例如,中银绒业退市时股价跌至0.18元,但并未出现财务造假或经营崩坏的情况。
笔者观察到,A股市场存在两类典型的“奇葩现象”:一是“闪电退市”类。以中银绒业为代表的非ST公司因股价连续20个交易日低于一元被强制闪电退市,但公司大股东涉嫌长期违法减持、特定股东窗口期非法减持、财务洗澡等问题却未被及时预警。二是“长期不退”类。如四环生物、汇金科技、鸿博股份等,尽管其财务指标恶化、信息披露违规或涉嫌造假,却因未触发特定退市规则而长期存续。
中银绒业等五家非ST公司的退市原因是股价跌破一元,而非财务造假或经营失败的本质问题,但A股市场却出现了正常经营公司因股价跌破一元退市,重大违法者反而滞留市场的情况。笔者认为,这是制度设计的短板,将股价波动作为退市核心标准和监管手段,忽视了公司治理与投资者保护,也是造成A股市场近20年来频频打响3000点“保卫战”的原因。
笔者认为,应尽快启动对2024年退市新规关于交易类退市规则中把2012年原“面值退市”改为“一元退市”的程序合法性与非ST正常上市公司实质退市信息披露违法性的审查与完善。建立退市赔偿基金,优先使用罚没款补偿投资者损失。投服中心应该勤勉高效履职,推广特别代表人诉讼,降低中小投资者维权门槛。
笔者认为,中银绒业等非ST公司的闪电退市,暴露出规则的机械和僵化。四环生物、汇金科技等“长期不退”公司,凸显了监管的缺位。笔者建议,借鉴网购“退一赔三、退一赔十”的赔付方式,先行赔偿投资者,提升金融消费者在房地产、汽车、装修等货品产业链方面的消费能力。
来源:《金融投资报》 http://jrtzb.com.cn/
与中国资本市场一起成长;精准研判,权威解读,透彻分析 ;《金融投资报》助你财富增值!
邮发代码:61-146(周末证券) 61-102(限四川地区,全套)
四川订报热线:028-86968486
上海订报热线:11185
微信公众号:jrtzb028