-
上海三藤信息咨询有限公司与杭州振大信息科技有限公司债权转让通知暨债务催收联合公告
-
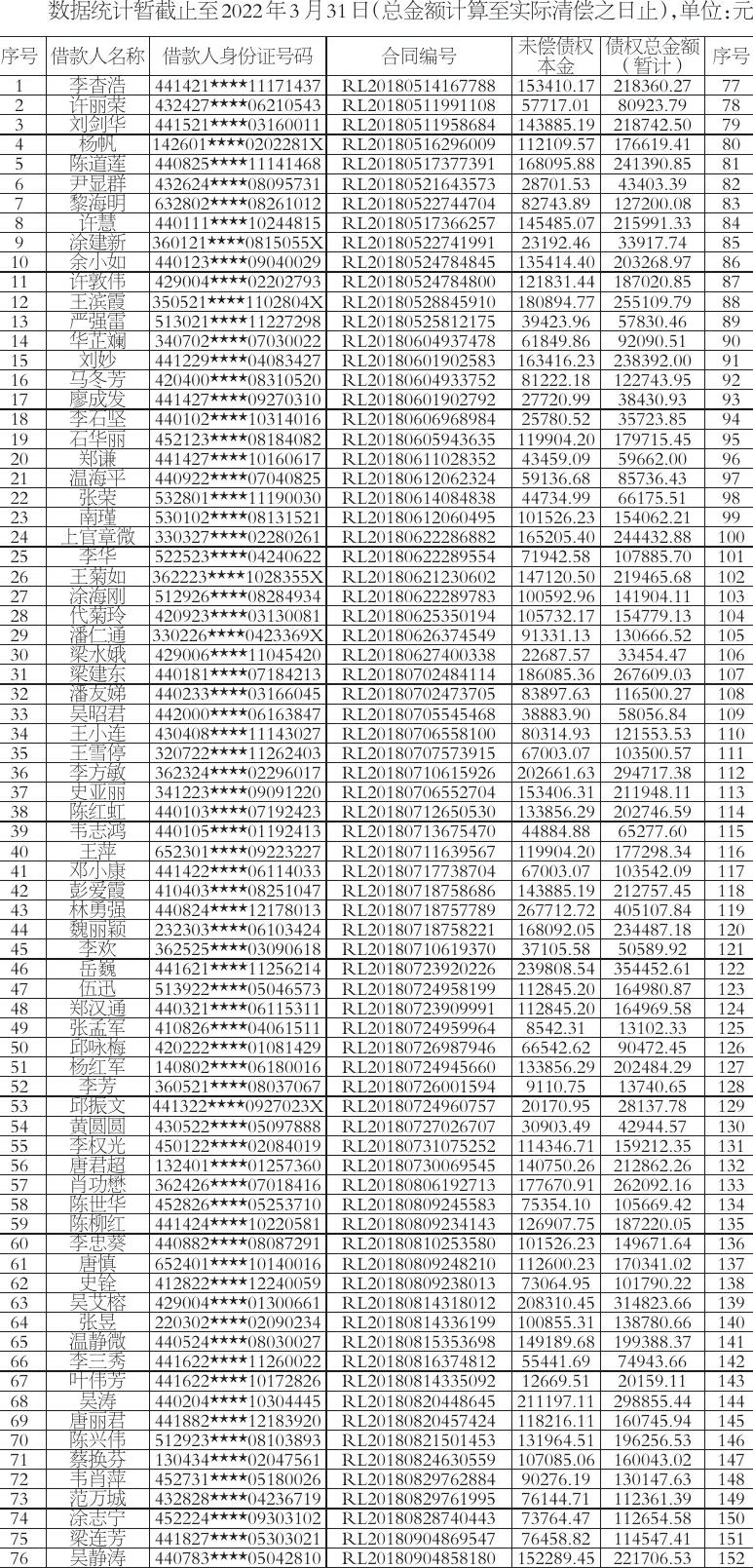
根据上海三藤信息咨询有限公司(下称“上海三藤”)与杭州振大信息科技有限公司(下称“杭州振大”)签署的的《债权转让协议》,上海三藤将对《公告清单》(详见附件)中所列的债权及其附属权利,依法批量转让给杭州振大,上海三藤及杭州振大特发公告通知各债务人及保证人(如有)以及相关承继人。杭州振大作为上述债权的受让人,现要求公告清单中所列债务人(包括债务承继人),从公告之日起立即向杭州振大履行主债权合同及相关文件约定的还本付息义务及其他相应的义务。公告未尽事宜,均以双方签署的转让合同为准。特此公告。
上海三藤信息咨询有限公司 杭州振大信息科技有限公司
2025年12月20日
公告清单
