-
平安银行股份有限公司与昆朋资产管理股份有限公司债权转让暨催收联合公告
-
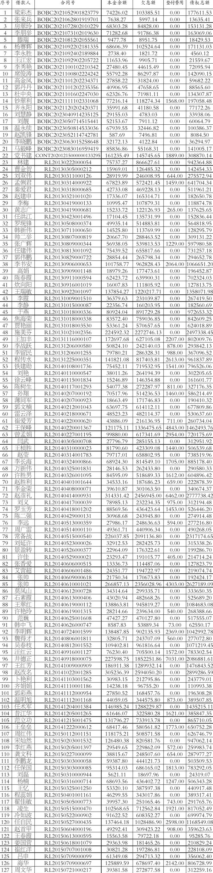
根据平安银行股份有限公司与昆朋资产管理股份有限公司签订的《债权资产转让合同》(编号:PAXJPJ2026005ZZ),平安银行股份有限公司将其对以下公告清单所列借款人及相关责任人(如有)的债权【包括但不限于本金、利息、罚息、逾期违约金(如有)、垫付费用(如有)及其他应付款项(如有)】转让给昆朋资产管理股份有限公司,平安银行股份有限公司特公告通知各借款人及相关责任人(如有)。
平安银行股份有限公司作为上述债权的出让方,昆朋资产管理股份有限公司作为上述债权的受让方,现联合公告要求以下公告清单中的借款人及相关责任人(如有),自公告之日起立即向昆朋资产管理股份有限公司履行相关借款合同约定的偿还义务。
昆朋资产管理股份有限公司接收还款的银行账户户名为:昆朋资产管理股份有限公司,账号:30208483343001,开户行:平安银行上海分行营业部。
如有疑问或沟通还款请联系电话:028-85225007
特此公告。
平安银行股份有限公司 昆朋资产管理股份有限公司
2026年2月13日
注:1.本公告清单仅列示截至转让基准日(2025年12月09日)的债权余额,借款人及相关责任人等相关承债主体、清算主体(如有)应支付给昆朋资产管理股份有限公司的利息、罚息、违约金及其他应付款项按借款合同、担保合同及中国人民银行的有关规定或生效法律文书确定的方法计算至实际清偿之日止。已进入诉讼程序的,并已由平安银行股份有限公司垫付的应由借款人及相关责任人等相关承债主体、清算主体(如有)负担的诉讼费、执行费、律师费等以有关法律文书确定的金额为准。
2.本公告当中内容如有错漏,以借款人及相关责任人等相关承债主体、清算主体(如有)原已签署的交易合同为准。
