数字版
07 综合
07 综合
<上一版
07 综合
·
深挖科技板块投资机会 公募密集调研液冷产业链
·
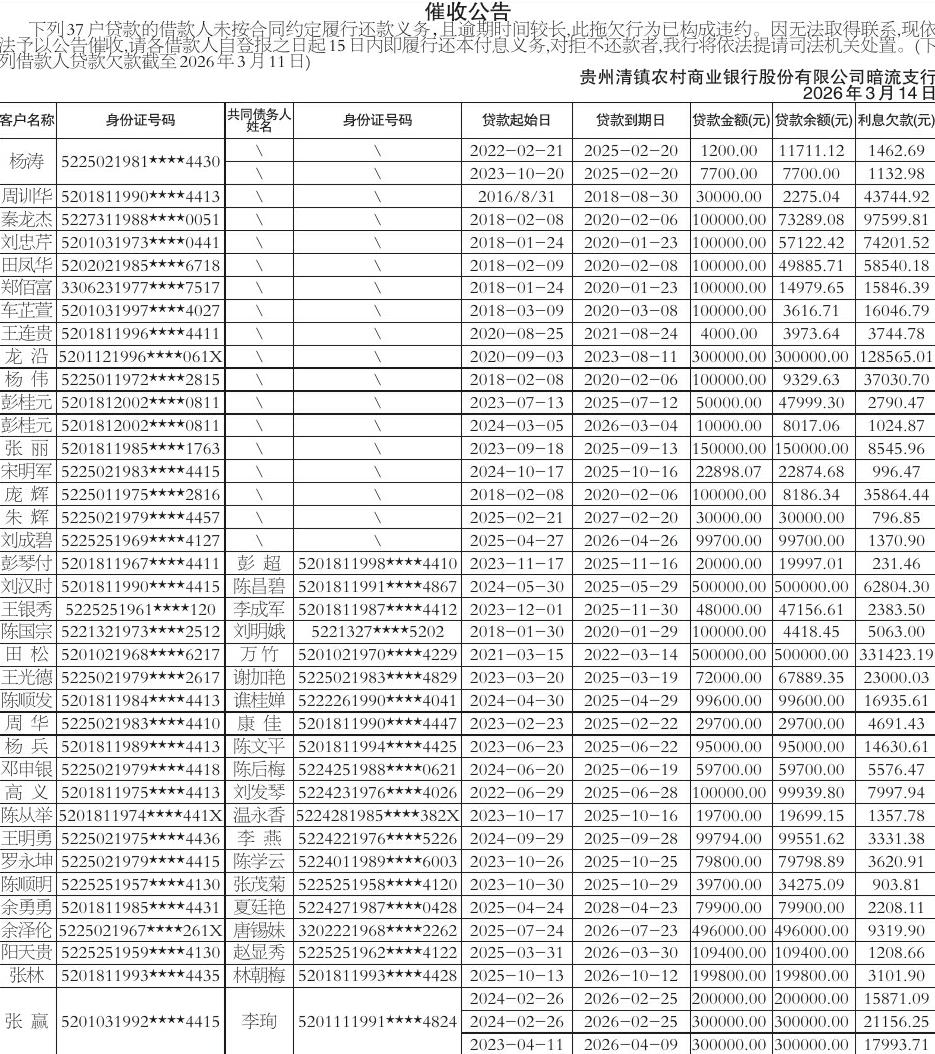
催收公告
·
公告
·
渤海银行成都二十四城社区支行开展 “银龄智享·数字随行”活动助力老人跨越数字鸿沟
·
催收公告
·
公告
·
公告
·
公告
·
公告
·
公告
·
催收公告
催收公告
分享到微信朋友圈